ՍԱՏՄ ՊԱՀԱՆՋՈՎ ԿԱՏԱՐՎՈՒՄ Է NAN-Ի ՈՐՈՇ ԽՄԲԱՔԱՆԱԿՆԵՐԻ ՀԵՏԿԱՆՉ
ՍԱՏՄ ՊԱՀԱՆՋՈՎ ԿԱՏԱՐՎՈՒՄ Է NAN-Ի ՈՐՈՇ ԽՄԲԱՔԱՆԱԿՆԵՐԻ ՀԵՏԿԱՆՉ
2026-01-09 13:00:59
1088
Նեսթլե (Nestlé) ընկերությունը համաշխարհային մակարդակով հետ է կանչել որոշ մանկական կաթնախառնուրդներ՝ կապված ցերևիլիդ տոքսինով աղտոտման հավանական ռիսկ հայտնաբերելու հետ (կարող է առաջացնել սրտխառնոց, փսխում և ստամոքսի ցավեր):
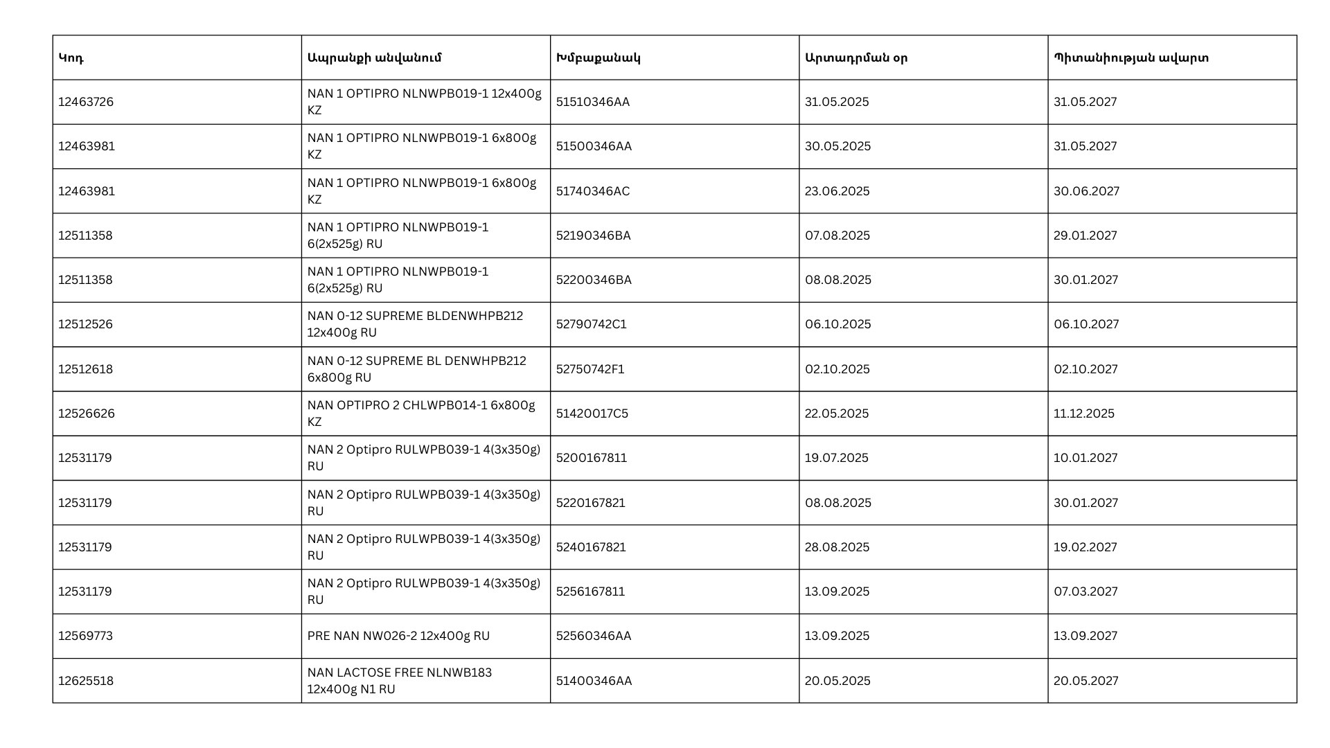
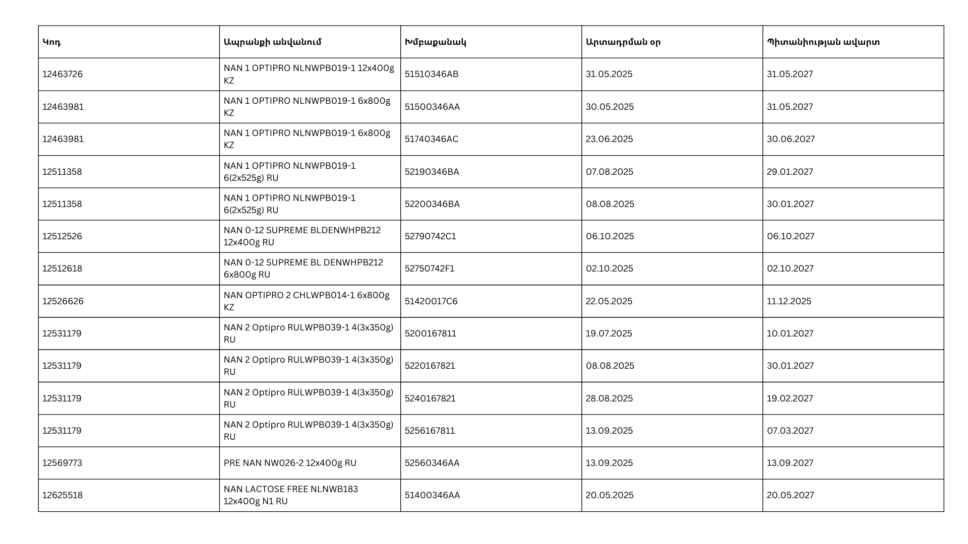
Սննդամթերքի անվտանգության տեսչական մարմնի պահանջով՝ NAN ապրանքանիշի նշված խմբաքանակները Հայաստանի Հանրապետություն ներմուծող ընկերություններն անմիջապես սկսել են հետկանչի՝ վաճառքի կետերից հավաքելու գործընթացը:
Թեև այս արտադրանքի հետ կապված հիվանդության հաստատված դեպքեր չեն արձանագրվել, սակայն հետկանչը կատարվում է նախազգուշական նպատակով։
Եթե իրացման ցանցում կտեսնեք տուփեր NAN ապրանքանիշի նշված խմբաքանակներից՝ հորդորում ենք չգնել դրանք և անմիջապես տեղեկացնել Տեսչական մարմնի թեժ գծի հեռախոսահամարով՝ 118. այն շուրջօրյա է և անվճար:
